- 按相关度排序
- 按时间排序
- 搜全文
- 搜标题
相关结果约37474个
互动
沅陵县人民政府
发布时间:2026-03-30
政策文件及通知
为加强我县道路运输管理工作,强化道路运输经营者和道路运输车辆的监管,根据《湖南省道路运输条例》第十四条:县级以上人民政府交通运输主管部门应当按照国家有关规定对班车客运、包车客运、旅游客运和货物运输车辆实行审验。未经审验或者审验不合格的运输车辆,不得继续营运。逾期未申请进行审验超过一百八十日的,由县级...
中方县人民政府
发布时间:2026-04-10
2026年第一批农机购置补贴发放名单公示说明 根据湖南省2024-2026年农机购置与应用补贴实施方案,现将我区2026年第一批农机购置补贴名单向社会公示,公示时间2026年3月30日至2026年4月6日。如有异议,请在公示期内向区农业农村水利局反映(电话:0745-7622006)。
怀化市洪江区管理委员会
发布时间:2026-03-30
洪江市人民政府
发布时间:2026-04-02
相关视频
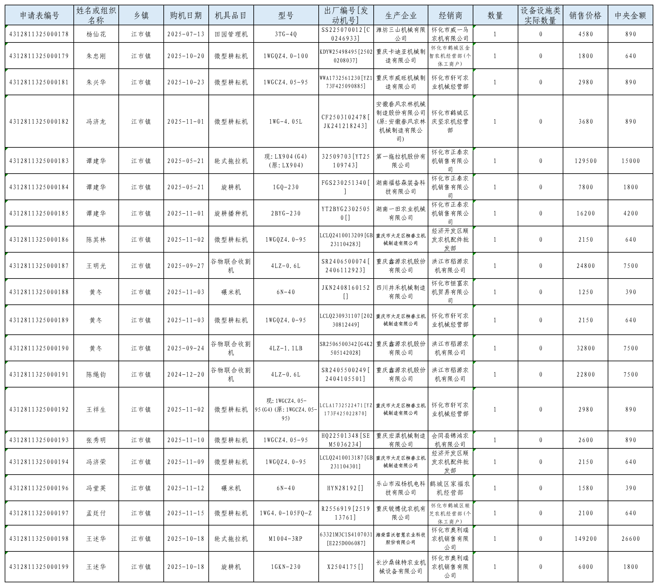
根据《湖南省2024-2026年农业机械购置补贴实施方案》湘农联(2024)88号文件要求,经购机户自主申请,乡(镇)审核、农机部门抽样核查,现将2026年度洪江市第二批农机购置补贴机具结算明细表(第二批)的具体情况予以公示(详见附件)。
洪江市人民政府
发布时间:2026-03-30
序号购机者补贴机具补贴资金所在乡(镇)购机者姓名机具品目生产厂家产品名称购买机型经销商购买数量(台)单台销售价格(元)单台补贴额(元)总补贴额(元)1雪峰镇杨夕文微型耕耘机重庆力宁机械制造有限公司微型耕耘机1wg4.0-95fq-zc鹤城区博宁农机批发部119806406402雪峰镇向同国碾米机乐山...
洪江市人民政府
发布时间:2026-03-24
洪江市人民政府
发布时间:2026-03-16
项目总投资195.02万元,在湖南省高速公路集团有限公司怀化分公司新晃省界检测站进入怀化市的方向上对原有3车道、4车道进行合并改建为新的绿通车道(3车道)安装并使用1套mix300n型绿色通道车辆检查系统(包含2个x射线管,x射线管1:最大管电压为200kv,最大管电流1.0ma;x射线管2:最大管...
市生态环境局
发布时间:2026-04-08
政策文件通知
芷江侗族自治县人民政府
发布时间:2026-02-28
根据《湖南省2024-2026年农业机械购置与应用补贴实施方案》要求,经购机者自主申请,乡(镇)审核,农机部门抽样核查,2025年中方县第七批农机购置补贴机具48台(套)受益户48户,中央补贴资金4.484万元,共计4.484万元,现予以公示。附:中方县2025年第七批农机购置补贴资金发放明细
中方县人民政府
发布时间:2026-02-02
怀化市人民政府
