- 按相关度排序
- 按时间排序
- 搜全文
- 搜标题
相关结果约42604个
文件
-
湖南省统计局2021年度法治政府建设工作报告
- 文件类型:文件通知
- 发布日期:2022-04-13
-
关于印发《企业统计信用管理办法(试行)》的通知
- 文件类型:文件通知
- 发布日期:2018-10-17
-
关于印发洪江区统计局主要职责内设机构和人员编制规定的通知
- 文件类型:洪江区政策文件
- 发布日期:2016-02-29
- 文号:洪管办发〔2016〕8号
互动
内设机构
负责人:彭万磊负责拟定公安法制总体规划;组织开展案件审核、执法检查、考核评议等内部执法监督工作;负责规范性文件法律审核工作;负责输行政复议、听证、行政诉讼、国家赔偿工作;负责公安内部的法制宣传和普法工作。拟定公安督察审计工作的规划并组织实施;负责全县公安机关党风廉政建设和纪检、监察工作;按照规定承办...
通道县人民政府
发布时间:2025-12-23
本次培训紧扣农业统计工作实际,聚焦农业生产统计调查方法、“四农普"、数据采集审核要点、制度修订、指标解释及报表填报规范等内容,通过制度解读、工作分析、实操指导相结合等形式,对农业统计重点难点问题进行讲解,并对农业统计工作注意事项进行重点提示,对近期工作作出安排部署。通过培训,参训人员表示“不仅进一步...
市统计局
发布时间:2025-12-12
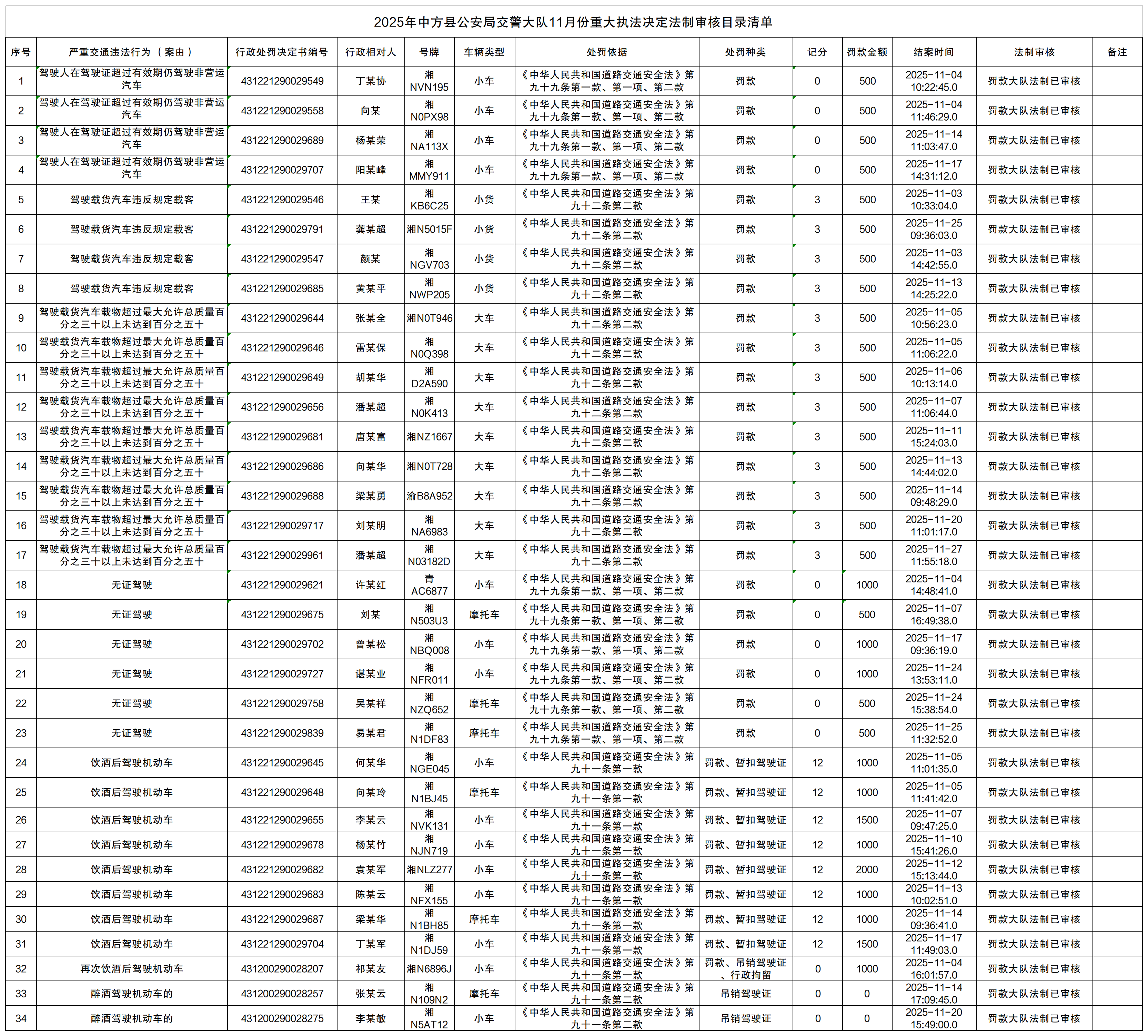
沅陵县交通运输局重大执法决定法制审核目录(2025)
沅陵县人民政府
发布时间:2025-11-21
文件通知
洪江市人民政府
发布时间:2025-11-25
为深入贯彻落实党的二十大精神,切实做好乡村法制工作,维护群众合法权益,推动农村地区法制化建设,舒家村乡开展了“政务公开主题日”暨法制宣传活动。近日,舒家村乡工作人员走村入户,向当地群众开展法制教育、宣传等活动,在现场为当地群众解答疑惑与问题。 舒家村乡政务中心联合乡司法所、综治中心等部门在...
麻阳苗族自治县人民政府
发布时间:2025-11-14
溆浦县人民政府
发布时间:2025-11-21
此次活动怀化市统计局按照法治宣传教育法有关规定和全国统计“八五”普法规划总体要求,聚焦统计法定职责履行,既借力“12·4”宪法宣传日影响力扩大了统计普法覆盖面,又通过接地气的宣传形式提升了《统计法》《统计法实施条例》《湖南省统计条例》等法律法规的公众知晓率和社会认同感,切实增强全社会统计法治意识,优...
市统计局
发布时间:2025-12-08
培训中,市统计局工业与能源统计科科长刘湘英结合工作实际,分享了能源统计工作经验做法。培训人员围绕数据质量控制全流程规范、能源消费月报表填报、能源购进消费与库存统计、工业企业用水情况等9项核心内容,进行了系统细致的讲解,针对实际工作中常见的问题进行了答疑解惑,助力参训人员精准掌握业务规范和操作要点。
市统计局
发布时间:2025-12-29
随后,农业与固定资产投资统计科、统计执法监督科、国民经济核算与综合统计科分别开展专业培训。聚焦农业统计专业知识,授课人员对农业统计工作的重点、难点进行细致讲解,助力基层统计人员提升农业数据采集与审核能力;深入统计法制工作,授课人员结合执法实践解读统计法律法规,进一步夯实全市统计系统的法治工作基础;围...
市统计局
发布时间:2025-12-12
文件通知
(五)开展对统计法律、法规贯彻执行情况的监督检查,查处统计违法行为;(六)根据国家统计信用制度,将统计调查对象履行统计义务的信用信息纳入社会信用体系;(七)法律、法规规定的其他职责。第四条 县级以上人民政府有关部门依法履行下列职责:(一)组织实施本部门、本行业的统计调查工作;(二)指导和监...
鹤城区人民政府
发布时间:2025-12-19
沅陵县人民政府
